报告题目:钒基笼目结构材料的压力调控
报 告 人:应剑俊 中国科学技术大学特任研究员
报告时间:2022年5月13日 上午10:00
腾讯会议:529-820-011
报告人简介

应剑俊,中国科学技术大学特任研究员,2013年博士毕业于中国科学技术大学,随后在美国卡耐基华盛顿研究所做博士后,2018年入职中国科学技术大学成人网站
,入选中科院百人计划B。主要从事凝聚态高压物理的研究。近年来的研究兴趣主要集中在压力下的物性调控及新效应的探索,已发表学术论文 90 余篇,引用3000余次。
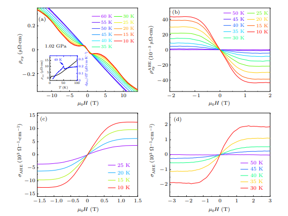
报告摘要

最近发现的钒基笼目结构材料AV3Sb5 (A=K, Rb, Cs)为探究电荷密度波(CDW)、超导及拓扑等多重交织序之间的相互作用提供了新的研究平台。我们对CsV3Sb5进行了压力调控研究,通过高压下电输运测量和磁化率测量发现Tc随压力增加表现为双穹顶状的行为,而非传统的单穹顶行为。该奇特的压力相图表明CsV3Sb5中存在不寻常的超导与CDW竞争。当施加更大的压力时,我们发现CsV3Sb5在14 GPa以上会有一个新的穹顶状超导出现,这与压力诱导的维度变化相关。我们在CsV3Sb5中发现巨大的反常霍尔效应(AHE),AHE的出现恰好伴随着CDW转变,并进一步研究了AHE在压力下的演化。另外,还合成了一类新型双层钒基笼目结构材料AV6Sb6,并在其中发现了压力诱导的超导电性。